World Valve Dealer
首页 > 仑苍广角 > 列表

泉州市级名单公布!恭喜仑苍这些教师

2025-12-11 09:07:24      来源:   

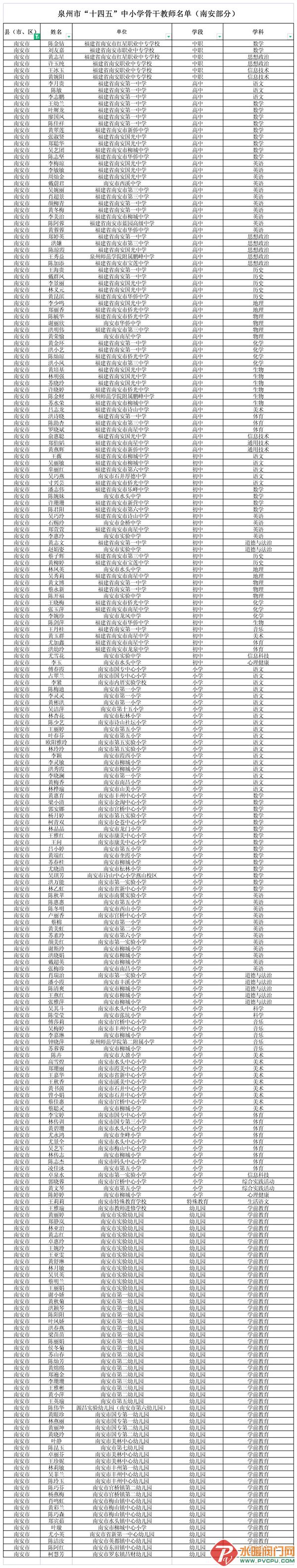
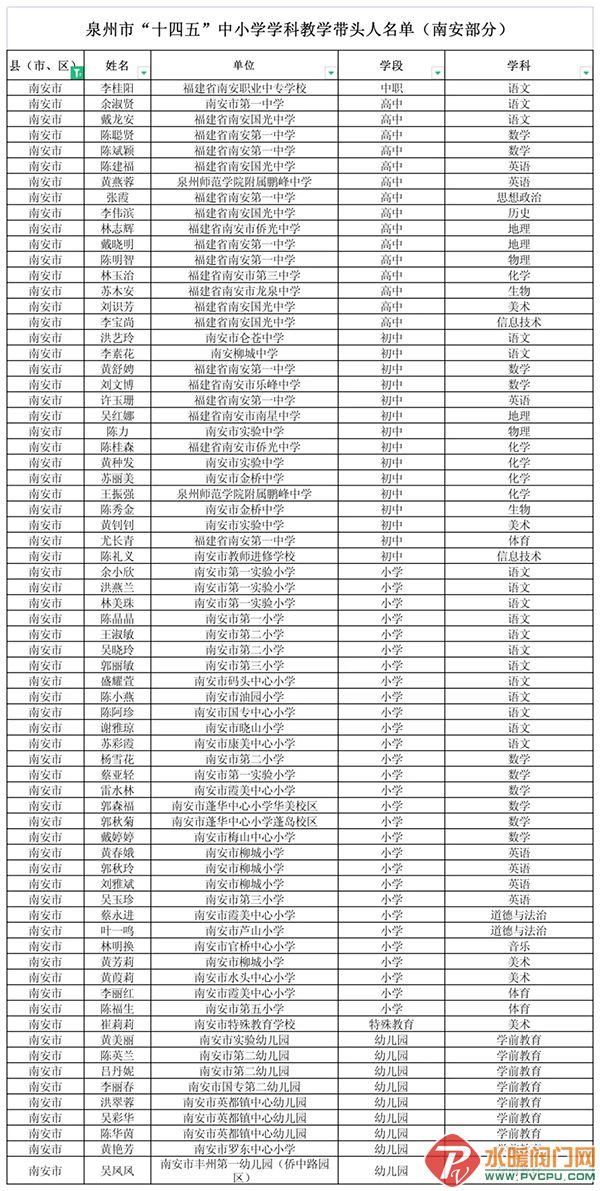
日前,泉州市教育局公布泉州市“十四五”第一批教学名师、学科教学带头人、骨干教师名单。其中,南安39名教师入选泉州市“十四五”第一批中小学教学名师单,70名教师入选泉州市“十四五”中小学学科教学带头人名单,228名教师入选泉州市“十四五”中小学骨干教师名单。一起来看入选名单!

1.jpg2.jpg3.jpg

来源:泉州市教育局、南安教育信息


仑苍广角.jpg

分享: